1. The graph of a quadratic polynomial 𝒑(𝒙) passes through the points (-6,0), (0,-30), (𝟒,−𝟐𝟎) and (𝟔,𝟎). The zeroes of the polynomial are
    1. -6,0
    2. 4, 6
    3. -30,-20
    4. -6,6

    View Answer
    Correct Answer is (D).
    The graphical meaning of the zero of a polynomial is the x-coordinate where the graph of the polynomial intersects or touches the x-axis. We can see from the graph touches the x-axis at two points i.e. (−6,0) and (6,0). So, the zeroes are (−6,6).img


  2. The value of k for which the system of equations 𝟑𝒙−𝒌𝒚=𝟕 and 𝟔𝒙+𝟏𝟎𝒚=𝟑 is inconsistent, is
    1. -10
    2. -5
    3. 5
    4. 7

    View Answer
    Correct Answer is (B).
    For an inconsistent solution, there is only one case: the graphs of the pair of equations are parallel i.e. the pair of equations has no solutions. We will now apply inconsistency condition which is:LaTeX equation: a1/a2 = b1/b2 != c1/c2From the given equations :LaTeX equation: a1=3, b1=-k, c1=-7, a2=6, b2=10, c2=-3Now, we set up the ratio and solve for k.LaTeX equation: step-by-step solution for k with line breaks


  3. Which of the following statements is not true?
    1. A number of secants can be drawn at any point on the circle.
    2. Only one tangent can be drawn at any point on a circle.
    3. A chord is a line segment joining two points on the circle
    4. From a point inside a circle only two tangents can be drawn.

    View Answer
    Correct Answer is (D).
    Option d. is false as NO tangent can be drawn from a point inside the circle.
    The other three options are absolutely correct.


  4. If nth term of an A.P. is 𝟕𝒏−𝟒 then the common difference of the A.P. is
    1. 7
    2. 7n
    3. -4
    4. 4

    View Answer
    Correct Answer is (A).
    Given: t𝑛=7𝑛−4
    On substituting the value of n as 1 we will get first term, on substituting n as 2 we get second term and so on.LaTeX equation: t1=7x1-4=3, t2=7x2-4=10, t3=7x3-4=17∴ A.P. is 3,10,17,…………….
    To find out the common difference of A.P. we have to subtract any two consecutive term.LaTeX equation: d=t2-t1=10-3=7


  5. The radius of the base of a right circular cone and the radius of a sphere are each 5 cm in length. If the volume of the cone is equal to the volume of the sphere then the height of the cone is
    1. 5 cm
    2. 20 cm
    3. 10 cm
    4. 4 cm

    View Answer
    Correct Answer is (B).
    Given:
    Radius of right circular cone = Radius of a sphere= 5cm Volume of cone = Volume of sphereLaTeX equation: Volume of cone and sphere with mathematical expressionOn solving the above equation we get h= 20 cm.


  6. If LaTeX equation: tan theta and trigonometric ratio  Is equal to
    1. 𝟏𝟏/𝟗
    2. 𝟑/𝟐
    3. 𝟗/𝟏𝟏
    4. 4

    View Answer
    Correct Answer is (A).
    LaTeX equation: trigonometric simplification


  7. In the given figure, a tangent has been drawn at a point P on the circle centred at O. If ∠𝑻𝑷𝑸=𝟏𝟏𝟎^𝟎 then ∠𝑷𝑶𝑸 is equal to
    1. 1100
    2. 700
    3. 1400
    4. 550

    View Answer
    Correct Answer is (C).
    Statement∠𝐓𝐏𝐐=𝟏𝟏𝟎° ∠𝑶𝑷𝑻=𝟗𝟎° ∠𝑸𝑷𝑶=𝟏𝟏𝟎°−𝟗𝟎°= 𝟐𝟎° In OPQ 𝑶𝑷=𝑶𝑸 ∠ 𝑷=∠𝑸=𝟐𝟎° ∠𝑷𝑶𝑸=𝟏𝟖𝟎°−(𝟐𝟎°+𝟐𝟎°) = 𝟏𝟒𝟎°ReasonGiven
    The tangent at any point on the on the circle is perpendicular to the radius at the point of contact.
    From figure
    Radii of same circle Angles opposite to equal sides are equal. Angle sum property.img


  8. A quadratic polynomial having zeroes  LaTeX equation: negative and positive square roots of 5/2
    1. 𝒙2−𝟓√𝟐 𝒙+𝟏
    2. 𝟖𝒙2−𝟐𝟎
    3. 𝟏𝟓𝒙2−𝟔
    4. 𝒙2−𝟐√𝟓 𝒙−𝟏

    View Answer
    Correct Answer is (B).
    LaTeX equation: alpha and beta with square roots of 5/2Put the values in the general equation of the quadratic polynomial that is 𝑘 [𝑥2 − (𝛼+𝛽) 𝑥 + (𝛼𝛽)] where k is any real number.LaTeX equation: quadratic simplification with square roots of 5/2 centeredOption a. and d. gets ruled out as there is no term of x in the above polynomial . Now let us see option c.We can see that the co-efficient of 𝑥2 is 8. So, on substituting 8 in place of k we get 8𝑥2−20.


  9. Consider the frequency distribution of 45 observations.
    Class0-1010-2020-3030-4040-50
    Frequency5915106
    The upper limit of median class is
    1. 20
    2. 10
    3. 30
    4. 40
    View Answer
    Correct Answer is (C).
    Class-IntervalFrequencyC.I.
    0-1055
    10-20914
    20-301529
    30-401039
    40-50645
    𝑁=45.LaTeX equation: N/2 = 45/2 = 22.5th term22.5th term lies in the row having Cumulative frequency as 29. So, the median class is 20-30. ∴ Upper limit is 30.

  10. O is the point of intersection of two chords AB and CD of a circle.imgIf ∠𝐵𝑂𝐶 = 𝟖𝟎𝑂 and OA = OD then 𝛥𝑂𝐷𝐴 and 𝛥𝑂𝐵𝐶 are
    1. equilateral and similar
    2. isosceles and similar
    3. isosceles but not similar
    4. not similar
    View Answer
    Correct Answer is (B).
    In ∆𝐴𝑂𝐷 the lengths of OA and OD are equal. ∴ ∆ AOD is isosceles. Also,
    ∠ 𝐴=∠𝐷 (Angles opposite to equal sides are equal.)
    We will next calculate angles A and D by angle sum property .

    ∠𝐴+∠𝐷+∠𝑂=180°
    ⟹∠𝐴+∠𝐴+∠𝑂=180° (∵∠𝐴=∠𝐷)
    ⟹2∠𝐴+80°=180°
    ⟹2∠𝐴=180°−∠80°
    ⟹2∠𝐴=100°
    ⟹∠𝐴=(1𝑜𝑜°)/2
    ⟹∠𝐴=50°
    ∴∠𝐴=∠𝐷=50°
    Now from one of the theorems of circle that angles in the same segment are equal.
    ∠𝐴𝐷𝑂=∠𝑂𝐵𝐶
    ∴∠𝑂𝐵𝐶=50°
    ∠𝐴𝑂𝐷 and ∠𝐵𝑂𝐶 are equal as they are vertically opposite angles.
    ∴∠𝐵𝑂𝐶=80°
    Now, In ∆𝑂𝐵𝐶
    ∠𝑂+∠𝐵+∠𝐶=180°
    ⟹80°+50°+∠𝐶=180°
    ⟹130°+∠𝐶=180°
    ⟹∠𝐶=180°−130°
    ⟹∠𝐶=50°
    So, in ∆𝐵𝑂𝐶 we see that ∠𝐵=∠𝐶=50°
    ∴ ∆𝐵𝑂𝐶 is isosceles.
    Both the triangles are isosceles.
    Now, let us see for similarity.
    In ∆𝑂𝐷𝐴 and ∆𝑂𝐵𝐶
    ∠𝐷𝑂𝐴=∠𝐵𝑂𝐶=80°
    ∠𝑂𝐷𝐴=∠𝑂𝐵𝐶=50°
    ∴∆𝑂𝐷𝐴~∆𝑂𝐵𝐶 (A.A. Criteria)
    So, the triangles are isosceles and similar.
    STATEMENTREASON
    ∠BOC = 80°Given
    ∠BOC = 80°Given
    In ΔAOD
    OA = OD
    ∠A = ∠D  LaTeX equation: (180 degrees - 80 degrees) divided by 2 = 500
    Radii of same circle
    Angles opposite to equal sides are equal.
    ∠A = ∠D =
    Angle sum property.
    ∠ADO = ∠OBC
    ∴ ΔODA = ΔOCB
    Angles in the same segment
    A.A. criteria
    The triangles are isosceles and similar

  11. The roots of the quadratic equation 𝑥2+𝒙−𝟏 = 𝟎 are
    1. Irrational and distinct
    2. not real
    3. rational and distinct
    4. real and equal

    View Answer
    Correct Answer is (A).
    Given equation: 𝑥2+𝑥+1=0 where: a=1;b=1 and c=1 To find the nature of roots we have to calculate the discriminant. 𝐷=𝑏^2−4𝑎𝑐
    𝐷=12−4×1×−1
    𝐷=1+4
    𝐷=5
    i.e. D>0
    The roots are real and distinct. Now real roots means both rational and irrational.
    To find whether the roots are rational or irrational, we will find out the roots.
    LaTeX equation: quadratic formula and simplified result∴ The roots are irrational and distinct.


  12. If 𝜽=𝟑𝟎0 then the value of 𝟑𝒕𝒂𝒏 𝜽 is
    1. 1
    2. LaTeX equation: 1 over square root of 3
    3. LaTeX equation: 1 over square root of 3
    4. Not defined

    View Answer
    Correct Answer is (C).
    LaTeX equation: trigonometric expression for 3 tan theta at 30 degrees using align


  13. The volume of a solid hemisphere is 𝟑𝟗𝟔/𝟕 𝑐𝑚3. The total surface area of the solid hemisphere (in sq.cm) is
    1. 396/7
    2. 594/7
    3. 549/7
    4. 604/7
    View Answer
    Correct Answer is (B).
    Given: Volume of a hemisphere =396/7 𝑐𝑚3
    Volume of a hemisphere is 2/3 𝜋𝑟3

    LaTeX equation: proportional equation with pi and radius cubedOn solving the above equation we get the value of r as 3.

    LaTeX equation: total surface area of a sphere formula with pi

  14. In a bag containing 24 balls, 4 are blue, 11 are green and the rest are white. One ball is drawn at random. The probability that drawn ball is white in colour is
    1. 1/6
    2. 3/8
    3. 11/24
    4. 5/8

    View Answer
    Correct Answer is (B).
    No. of balls= 24
    No. of blue balls = 4
    No. of green balls = 11
    ∴ No. of white balls = 24 – (4+11)
    = 24 – 15
    = 9
    LaTeX equation: probability of an event and white ball calculation


  15. The point on the x- axis nearest to the point (-4,-5) is
    1. (0, 0)
    2. (-4, 0)
    3. (-5, 0)
    4. (√𝟒𝟏, 0)
    View Answer
    Correct Answer is (B).
    One way to solve this is by taking out the distance of (−4,−5) and each of the given points in option.LaTeX equation: distance calculations between points and nearest point conclusion

  16. Which of the following gives the middle most observation of the data?
    1. Median
    2. Mean
    3. Range
    4. Mode

    View Answer
    Correct Answer is (A).
    Among all the measures of central tendency (mean, median and mode) MEDIAN gives the middle most observation of the data.
    Let us also discuss about other options –
    Mean – The mean is defined as the sum of all the values in a data set divided by the number of values in that data set. It represents the central or average value around which the data is distributed.
    Range – It is the difference between the highest value and the lowest value in a given set of data.
    Mode – The mode is the value that appears most frequently in a data set.


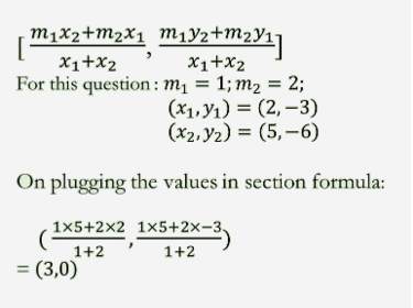
  17. A point on the x-axis divides the line segment joining tge points A(2, -3) and B(5,6) in the ratio 1:2. The point is
    1. (4, 0)
    2. (7/3, 3/2)
    3. (3,0)
    4. (0,3)

    View Answer
    Correct Answer is (C).
    imgGiven - AP:PB = 1:2
    The point P lies on X - axis i.e. ordinate will be zero. Let the co-ordinates of point P be(x,0). We will take out the co- ordinates of point P usinh the section - formula:
    img


  18. A card is drawn from a well shuffled deck of playing cards. The Probability of getting red face card is
    1. 3/13
    2. 1/2
    3. 3/52
    4. 3/26

    View Answer
    Correct Answer is (D).
    No. of face cards =4(Jack) + 4(Queen) + 4(King)
    img
    ∴ No. of red face cards = 6
    Total number of cards = 52
    Probability of red face cards = img


  19. Assertion (A): HCF of any two consecutive even natural numbers is always 2
    Reason (R): Even natural numbers are divisible by 2.
    1. Both assertion (A) and reason (R) are true and reason (R) is the correct explanation of assertion (A).
    2. Both assertion (A) and reason (R) are true and reason (R) is not the correct explanation of assertion (A).
    3. Assertion (A) is true but reason (R) is false.
    4. Assertion (A) is false but reason (R) is true.

    View Answer
    Correct Answer is (B).
    Let us take some even natural numbers
    2,4,6,8,10,12,14,16,18,20,22,... ... ...
    Now take any two number from consecutive series
    Say we have 10,12.
    The H.C.F of 10,12 is 2.
    Next take any other two consecutive numbers.
    This time we take 18,20.
    The H.C.F is again 2.
    We go on continuing this process and we will see that the H.C.F. is always 1.
    ∴ Assertion(A) is correct.
    The reason is also correct as we know even numbers are divisible by 2, but reason is not correct explanation of reason. OPTION B is correct.


  20. Assertion (A): If the radius of a circle is reduced to its half and angle is doubled then the perimeter of the sector remains the same. Reason (R): The length of the arc subtending angle 𝜽 at the centre of a circle of radius r= 𝜋𝑟𝜽/1800
    1. Both assertion (A) and reason (R) are true and reason (R) is the correct explanation of assertion (A).
    2. Both assertion (A) and reason (R) are true and reason (R) is not the correct explanation of assertion (A).
    3. Assertion (A) is true but reason (R) is false.
    4. Assertion (A) is false but reason (R) is true.

    View Answer
    Correct Answer is (D).
    imgimg


  21. (A)Find the H.C.F and L.C.M of 480 and 720 using the Prime factorisation method.
    OR
    (B) The H.C.F of 85 and 238 is expressible in the form 85m -238. Find the value of m.

    View Solution for Option A
    Solution: (A).
    Step 1. Prime Factorization:
                480 = 2⁵ × 3 × 5
                720 = 2⁴ × 3² × 5
    Step 2. Finding the H.C.F (Highest Common Factor):
                The H.C.F is obtained by taking the lowest powers of common prime factors.
                Common prime factors: 2, 3, 5
                Lowest powers: 2⁴, 3¹, 5¹
                H.C.F = 2⁴ × 3 × 5 = 240
    Step 3. Finding the L.C.M (Lowest Common Multiple):
                The L.C.M is obtained by taking the highest powers of all prime factors.
                Highest powers: 2⁵, 3², 5¹
                Lowest powers: 2⁴, 3¹, 5¹
                L.C.M = 2⁵ × 3² × 5 = 1440
    Final Answer:
    H.C.F = 240
    L.C.M = 1440

    View Solution for Option B
    Solution: (B).
    Step 1. Prime Factorization:
                Prime factorization of 85: 85 = 5 × 17
                Prime factorization of 238: 238 = 2 × 7 × 17
    Step 2. Finding the H.C.F (Highest Common Factor):
                The common factor between 85 and 238 is 17. Hence, the H.C.F is 17.
    Step 3. Expressing the H.C.F in the Given Form
                The equation is:
                85m - 238 = 17
                Rearranging for m:
                85m = 17 + 238
                85m = 255
                m = 255 ÷ 85 = 3
    Final Answer: The value of m is 3.


  22. (A)Two dice are rolled together bearing numbers 4, 6, 7, 9, 11, 12. Find the probability that the product of numbers obtained is an odd number.
    OR
    (B) How many positive three digit integers have the hundredths digit 8 and unit’s digit 5? Find the probability of selecting one such number out of all three digit numbers.

    View Solution for Option A
    Solution: (A).
    Step 1. Understand the conditions for an odd product:
                A product is odd if and only if both numbers rolled are odd.
    Step 2. Identify odd numbers on the dice:
                Odd numbers are: 7, 9, 11 (3 out of 6 numbers on each die).
    Step 3. Total outcomes:
                 Total outcomes = 6 × 6 = 36
    Step 4. Total outcomes:
                 Total outcomes = 6 × 6 = 36
    Step 5. Probability
                 P(Odd product) = img
    Final Answer: Probability = img

    View Solution for Option B
    Solution: (B).
    There are a total of 900 three-digit numbers, ranging from 100 to 999
    We havt to find the count and probability of selecting a three-digit number where:
    1. The hundred&aposs digit is 8.
    2. The unit&aposs digit is 5.
    Such numbers will have the form 8X5, where X is the ten&aposs digit, which can range from 0 to 9.
    This gives us 10 possible numbers: 805, 815, 825, ..., 895.
    The total count of such numbers is 10.
    Therefore, the probability of randomly selecting one of these numbers out of all three-digit numbers is
    img


  23. Evaluate = img

    View Answer
    Substitute the values :  img
    img


  24. Find the point(s) on the x-axis which is at a distance of √41 units from the point (8, -5).

    View Answer
    Step 1. Use the distance formula:
                    img
    Step 2. Simplify the equation by squaring both sides:
                41         = (x - 8)² + 25
                (x - 8)² = 16
                x - 8     = ±4
    Step 3. Solve for x
                x = 8 + 4 = 12 or x = 8 - 4 = 4
    Final Answer: Points are (12, 0) and (4, 0)


  25. Show that the points A(-5,6), B(3, 0), and C(9, 8) are the vertices of an isosceles triangle.

    View Answer
    Step 1. Calculate the lengths of the sides using the distance formula:
                 img
    Step 2. Compare the side lengths
                AB = BC, so triangle ABC is isosceles.
                (x - 8)² = 16
    Final Answer: Triangle ABC is isosceles.


  26. In △ABC, D, E, and F are midpoints of BC, CA, and AB, respectively. Prove that:
    1. △FBD∼△DEF
    2. △DEF∼△ABC

    View Answer for Option (A)
    From Mid - point theorem we know line joining mid-points of two sides of a traiangle is parallel to the 3rd side and half of it.
    In ∆ ∆ABC,
    F and E are mid-points of AB and AC respectively,
    ∴ FE || BC and FE =img
    So, FE || BD also and FE = BD (Since, BD = img )
    We know if any one pair of opposite sides of quadrilateral is parallel and equal it is a Parallelogram.
    ∴ DBEF is a parallelogram.
    Similarity, DCEF is a parallelogram.

    1. In △DEF and △FBD
    ∠DFE = ∠FDB[Alternate angles]
    ∠DFE = ∠FBD[Opposite sides of a parallelogram are equal]
    ∴ ∆DEF ∼ ∆FBD[AA Similarity Criterion]

    2. In △DEF and △ABC
        ∠ FED = ∠ABC[Opposite sides of a parallelogram are equal]
        ∠ EFD = ∠ACB[Opposite sides of a parallelogram are equal]
        ∴ ∆DEF ∼ ∆ABC[AA Similarity Criterion]

    View Answer for Option (B)
    Solution: (B).
    Given:
    1. ΔABC, where D is the midpoint of BC (i.e., AD is the median), so BD=CD.
    2. P and Q are points on AB and AC, respectively.
    3. PQ is parallel to BC.
    To Prove:
    AD bisects PQ, i.e., PR = RQ.
    Proof:
    In ∆ APR and ∆ABD
    ∠APR=∠ABD             Corresponding angles
    ∠ARP=∠ADB             Corresponding angles
    ∴ ∆APR~∆ABD          A.A. criteria
    img                     C.P.S.T….(i)
    In ∆ ARQ and ∆ADC
    ∠ARQ=∠ADC             Corresponding angles
    ∠ARQ=∠ACD             Corresponding angles
    ∴ ∆ARQ~∆ADC          A.A. criteria
    img                      C.P.S.T….(ii)
    From (i) and (ii)
    As BD=CD
    ∴ PR=QR
    Hence, AD bisects PQ


  27. The sum of two numbers is 18, and the sum of their reciprocals is 9/40. Find the numbers.

    View Answer
    Let the two numbers be x and y.
    Given:
    x + y = 18 ...(1)
    img....(2)
    Simplify equation (2):
    img
    Substituting x + y = 18 from equation (1):
    img
    img...(3)

    From Equation 1
    y = 18 - x
    Substituting the value of y in Equation 3
    xy = 80
    x(18 - x) = 80
    18x - x2 = 80
    x2 -18x + 80 = 0
    x2 -10x - 8x + 80 = 0
    x(x-10) - 8(x-10) = 0
    (x-8)(x-10) = 0
    x=8 or 10.
    Ans : The numbers are 8 and 10 or 10 and 8.


  28. If α and β are zeroes of a polynomial 6x2 - 5x + 1, then form a quadratic polynomial whose zeroes are α2 and x2.

    View Answer
    Given polynomial: 6x2 - 5x + 1
    img
    Sum of squares of roots:
    img
    Product of squares of roots: 
    img
    Quadratic polynomial:
    t² - (sum of roots)t + product of roots = 0;
    img
    Multiply through by 36:
    36t2 - 13t + 1 = 0


  29. If cos²θ + sin²θ = 1, then prove that cosθ - sinθ = ±1..

    View Answer
    Start with the given equation:
    cos²θ + sin²θ = 1 ...(1)
    Let A = cosθ - sinθ.
    Square both sides:
    A² = (cosθ - sinθ)²
         = cos²θ - 2cosθsinθ + sin²θ
    Using equation (1):
    From trigonometric identity:
    sin(2θ) = 2cosθsinθ
    A² = 1 - sin(2θ)
    For cosθ - sinθ = ±1:
    A² = 1 ⇒ 1 - sin(2θ) = 1 sin(2θ) = 0
    Hence, cosθ - sinθ = ±1.


  30. (A)The minute hand of a wall clock is 18 cm long. Find the area of the face of the clock described by the minute hand in 35 minutes
    OR
    (B) AB is a chord of a circle centered at O such that ∠AOB = 60°. If OA = 14 cm, find the area of the minor segment.

    View Solution for Option A
    Solution: (A).
    Length of the minute hand (radius): r = 18 cm
    The minute hand moves round the clock once in 60 minutes .
    Angle swept by the minute hand in 60 min = 360°
    Angle swept by the minute hand in 1 min = img
    Angle swept by the minute hand in 35 min = 6°×35=210°
    Area of sector:img

    View Solution for Option B
    Solution: (B).
    Radius of the circle: r = 14 cm
    Central angle: θ = 60°
    Area of sector:
    img
    Area of triangle:
    img
    Area of minor segment:
    A_segment = A_sector - A_triangle
                        = 102.67 - 84.77
                        = 17.9 cm²


  31. Prove that √3 is an irrational number.

    View Answer
    Assume √3 is rational. img where p and q are coprime integers, q ≠ 0.
    Squaring both sides:
    img
    Let p = 3k.
    Substituting into p² = 3q²
    (3k)² = 3q²
    9k²   = 3q²
    q²     = 3k²
    Hence, 3 divides q.
    But this contradicts the assumption that p and q are coprime.
    Therefore, √3 is irrational.